Jersey Draft Whistleblowing Law 2026: What Employers Need to Know and Prepare For
18/03/2026
EXECUTIVE SUMMARY
- On 16 March 2026, the Minister for Social Security presented Report R.41/2026 (re-issue) to the States Assembly, containing a full draft Whistleblowing Law plus a detailed explanatory annex.
- This is Jersey’s first statutory whistleblowing regime.
- Once enacted (expected in 2027 or later), it will provide employees, certain workers, and police officers with day-one protection against retaliation for making protected disclosures about criminal offences, legal breaches, environmental damage, and other serious wrongdoing.
Key implications for employers
- Automatic unfair dismissal and less-favourable-treatment claims (Tribunal compensation capped at £30,000 total).
- Vicarious liability for acts by managers/colleagues unless “all reasonable steps” are proven.
- No legal requirement to maintain an internal whistleblowing policy, but organisations are strongly encouraged to create one.
- The draft is currently open for stakeholder feedback (email whistleblowinglaw@gov.je).
- The incoming Minister (post-June 2026 election) will decide whether to progress it.
Recommended immediate actions
- Review contracts, remove gagging clauses, brief senior management, and consider drafting an internal procedure now.
- This will give you a significant head start and strengthen any future defence.
Briefing for Jersey Employers: Jersey Draft Whistleblowing Law (R.41/2026 re-issue) – Presented 16 March 2026
Status & Next Steps (What We Know)
- This is not yet law.
- The draft was presented by the outgoing Minister (Deputy Lyndsay Feltham) purely for stakeholder review.
- No debate or vote is scheduled before the June 2026 election. The incoming Minister for Social Security will decide the next steps.
- Feedback is actively welcomed (not a formal consultation) – email whistleblowinglaw@gov.je over the coming months.
- Guernsey still has no protection; Jersey would align with the UK, Ireland and Isle of Man.
Core Features Every Jersey Employer Must Understand
- Who is protected?
- Employees (day-1 rights)
- “Workers” (e.g. contractors’ staff working on your premises)
- States of Jersey Police officers
- Anyone who intends to blow the whistle, encourages others, or gives supporting information (and anyone suspected of doing so)
- What constitutes “Wrongdoing”?
- Criminal offence
- Breach of any law (e.g. health & safety, data protection, AML)
- Environmental damage
- Risk to the maintenance of law
- Deliberate concealment or planned wrongdoing
- Internal employment grievances are explicitly excluded
- How must a disclosure be made to qualify?
- Must contain specific details (subject, wrongdoing, reasonable belief, public interest, no financial gain).
- First made to the employer (subject) or one of the listed statutory receivers (States Members, JFSC, Commissioners, etc.).

- Media disclosure only after a prior protected disclosure and if reasonable.

- Receiver duties (including employers)
- Written acknowledgement
- Protect identity (where possible)
- Reasonable investigation
- Decision + written response within a reasonable time
- Protections & Liability
- Automatic unfair dismissal/redundancy selection (day-1)
- No less-favourable treatment
- Vicarious liability for the firm unless “all reasonable steps” are taken to prevent retaliation
- Non-employees (e.g. customers) can also claim
- Tribunal remedies capped at £30,000 total
- No mandatory internal policy
- The law deliberately does not require one, but the Minister and annex strongly encourage organisations to develop internal channels that work alongside the statutory scheme.
What Your Firm Needs to Do NOW
- Consider submitting comments to whistleblowinglaw@gov.je while the window is open.
- Audit contracts and handbooks – delete any clauses that could prevent protected disclosures (Article 12 makes them void).
What Your Firm Needs to Prepare (Action Plan)
Immediate (next 3–6 months)
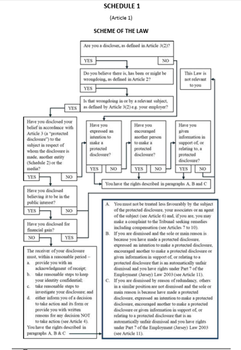
- Brief HR, senior leaders and line managers on the draft (the Schedule 1 flowchart is excellent for this).

- Review disciplinary, grievance and redundancy policies.
Once the new Minister confirms progression (post-June 2026)
- Draft or update an internal Whistleblowing Procedure (recommended best practice).
- Train managers and HR on handling disclosures and non-retaliation.
- Update induction and annual compliance training.
- Review D&O / employment-practices liability insurance.
Risk Areas
- Financial services, healthcare, construction and parish administrations face the highest exposure.
- Small firms are not exempt.
- “Worker” provisions create indirect liability for third-party staff.
Timeline Summary
- Now – mid-2026: Feedback period
- June 2026 onwards: New Minister decides
- 2027 (earliest realistic date): Law likely to commence + Government guidance published
Recommendation
- Treat this as a high-priority compliance project.
- Starting work on an internal policy now will give you a strong defence and demonstrate good employment relations.
Sources
- States of Jersey (2026). R.41/2026 (re-issue) – Draft Protected Disclosure (Protection of Whistleblowers) (Jersey) Law 202-: Report. Presented to the States Assembly on 16 March 2026 by the Minister for Social Security. https://statesassembly.je/publications/assembly-reports/2026/r-41-2026
- Government of Jersey (2025). The Introduction of Public Interest Disclosure Legislation in Jersey – R.107/2025. https://statesassembly.je/publications/assembly-reports/2025/r-107-2025
- Jersey Employment Forum (18 June 2025). Report and Recommendations on the introduction of a statutory Public Interest Disclosure Regime in Jersey (full PDF). https://www.gov.je/SiteCollectionDocuments/Working%20in%20Jersey/Employment%20Forum%20report%20and%20recommendation%20on%20the%20introduction%20of%20a%20public%20interest%20disclosure%20law%20in%20Jersey.pdf
- States Assembly Proposition P.47/2023 (as amended) – original decision to develop whistleblowing legislation (June 2023).
- Feedback email (as stated in the Report): whistleblowinglaw@gov.je
ALSO READ HERE:-
Jersey Draft whistleblowing law report presented to the States Assembly [16 March 2026]
The Minister for Social Security, Deputy Lyndsay Feltham, has today presented a Report to the States Assembly, which includes a draft whistleblowing Law that sets out how individuals can raise concerns about wrongdoing and in what circumstances they would be legally protected.
Alongside the draft Law is a detailed explanatory annex. Currently, there is no statutory protection for whistleblowers in Jersey law.
The initiative to develop a whistleblowing law originated with Deputy Carina Alves, whose Proposition was debated and approved by the Assembly in June 2023.
The draft Law is not being lodged for debate at this stage. Instead,
- The Jersey Government has published the proposed draft Law so stakeholders can review it and provide feedback.
- Details of how to submit comments are included within the Report.
- It will be for the incoming Minister for Social Security, following the June election, to pilot the Law through the Assembly.
Sources
- https://www.gov.je/News/2026/Pages/WhistleblowingLawReport.aspx
- https://statesassembly.je/getmedia/bef6b316-f6b5-447b-ae4d-532434e93284/R-41-2026-%28re-issue%29.pdf?ext=.pdf
Deputy Carina Alves said:
- “I am extremely pleased to see this draft whistleblowing law, which makes significant progress towards closing a gap in our employment protection laws in Jersey.
- I thank the Minister and her team for the all the hard work that has gone into the development of the law so far and sincerely hope that the next assembly is able to move towards the successful implementation of this important legislation without delay."
The Minister for Social Security said:
- “The draft whistleblowing Law represents an important and significant development in Jersey's employment legislation. Whistleblowers can face serious consequences for speaking up, and there is a clear need for statutory protection for those who know of, or witness, wrongdoing by employers, individuals, organisations, or other bodies.
- “Once the Law is in place, I hope it will give employees the confidence to do what they believe is right, particularly if they fear that reporting wrongdoing could put their job at risk because of actual or potential retaliation from their employer."
The Team
Meet the team of industry experts behind Comsure
Find out moreLatest News
Keep up to date with the very latest news from Comsure
Find out moreGallery
View our latest imagery from our news and work
Find out moreContact
Think we can help you and your business? Chat to us today
Get In TouchNews Disclaimer
As well as owning and publishing Comsure's copyrighted works, Comsure wishes to use the copyright-protected works of others. To do so, Comsure is applying for exemptions in the UK copyright law. There are certain very specific situations where Comsure is permitted to do so without seeking permission from the owner. These exemptions are in the copyright sections of the Copyright, Designs and Patents Act 1988 (as amended)[www.gov.UK/government/publications/copyright-acts-and-related-laws]. Many situations allow for Comsure to apply for exemptions. These include 1] Non-commercial research and private study, 2] Criticism, review and reporting of current events, 3] the copying of works in any medium as long as the use is to illustrate a point. 4] no posting is for commercial purposes [payment]. (for a full list of exemptions, please read here www.gov.uk/guidance/exceptions-to-copyright]. Concerning the exceptions, Comsure will acknowledge the work of the source author by providing a link to the source material. Comsure claims no ownership of non-Comsure content. The non-Comsure articles posted on the Comsure website are deemed important, relevant, and newsworthy to a Comsure audience (e.g. regulated financial services and professional firms [DNFSBs]). Comsure does not wish to take any credit for the publication, and the publication can be read in full in its original form if you click the articles link that always accompanies the news item. Also, Comsure does not seek any payment for highlighting these important articles. If you want any article removed, Comsure will automatically do so on a reasonable request if you email info@comsuregroup.com.